JamesBlandEcon

Estimating some risk preferences to make better decisions

Because I am taking this probabilistic footy tipping thing a bit too seriously

Probabilistic footy tipping -- a prior calibration

why am I only finding out about this now?

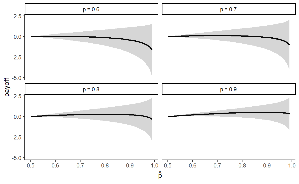
Should I pay for more information?

Answering this question in Stan

Estimating my students' risk preferences in Stan

and how you could do it too

Nerf blaster accuracy

More geometry and Stan, this time with Nerf blasters

NFL field goal attempts

Geometry and Stan

Monitoring soil moisture and sending it to Google Sheets

Because my green thumb is useless, but I can solder and program an Arduino

Computing logit Quantal Response Equilibrium

Implementing a predictor-corrector algorithm in *R*

RESET: A test for omitted variables?

Yes, but nope

Estimating Quantal Response Equilibrium in an attacker-defender game

A Bayesian implementation of some econometrics in Holt, Sahu, and Smith (2022)

Visualizing the Ohio COVID-19 data

Pizza, beer, potatoes, and tacos at 78° North

How a town's unhealthy relationship with late-night pizza was remedied by a potato stand.

Simulating a problem with regression discontinuity, and then understanding (part of) it with a DAG

When people get to choose their assignment variable

Computing pi using random numbers, and assuming that pi = 2

Throwing simulated darts at a circle within a square

Accounting for kicking range in the AFL shot location data

More articles »

JamesBlandEcon

Welcome to the website. I hope you enjoy it!